從WORD貼上網頁

 

年化利率1.2%,房貸20年,每月繳款$20,000,,問房貸總額?



現值

4,265,556

=金流/利率*(1-(1+利率)^-期數)

利率

0.001

 

期數

240

 

金流

20000

 

函數現值

-$4,265,556

=PV(利率,期數,金流)

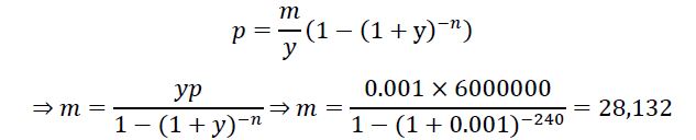
年化利率1.2%,房貸20年,每月繳款$5,000,000,,問每月繳多少?



房貸金額

$28,132

=利率*6000000/(1-(1+利率)^-期數)

 

-$28,132

=PMT(利率,期數,6000000)

留言

  1. 做得非常好,數學變數的確要 斜體!其他同學沒做到,你做到了。

    回覆刪除

張貼留言

這個網誌中的熱門文章

陳香怡:選擇權敏感度

第15週陳香怡 HTML+CSS+JavaScript+Word轉pdf方程式編輯器

陳香怡 期貨市場理論與實務2021Q1第1至30題